Bloco de contagem progressiva de pulsos de entrada.
Representação Ladder

Estrutura do Bloco
Tipo de Variável |
Nome |
Tipo de Dado |
Descrição |
VAR_INPUT |
CU |
BOOL |
Identificador de pulsos |
R |
BOOL |
Carrega o valor zero em CV |
|
PV |
WORD UINT |
Valor máximo de contagem |
|
VAR_OUTPUT |
Q |
BOOL |
Sinalizador de contador estourado |
CV |
WORD UINT |
Valor de contagem atual |
|
VAR |
CTU_INST_0 |
CTU |
Instância de acesso à estrutura do bloco |
|
NOTA!
Alguns dispositivos permitem configurar parâmetros do usuário, mas estes precisam ser configurados para utilização nos campos PV e CV, selecionando um tipo de dado compatível (WORD ou UINT). Para mais informações consultar o tópico correspondente. |
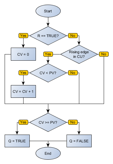
Funcionamento
Este bloco, quando identifica uma borda de subida em CD, incrementa a variável CV até que a mesma seja igual a PV. Enquanto CV for igual a PV, a saída Q permanece em nível TRUE. Ao detectar nível alto em R, o bloco carrega o valor zero em CV.
Fluxograma do Bloco

Diagrama de Funcionamento

Exemplo em Ladder

O exemplo acima exibe as condições iniciais da rotina. Como CV possue um valor inferior ao de PV, a saída Q é desabilitada.

A cada borda de subida identificada em CU, o valor de CV é incrementado até chegar ao valor de PV, quando a saída Q é habilitada.

Ao identificar o nível TRUE em R, o bloco carrega o valor zero para CV. Como este valor é inferior ao de PV, a saída Q é desabilitada.
Exemplo em ST
O exemplo abaixo, exibe as instruções para aplicação do exemplo acima na linguagem ST.
VAR PRESET : UINT := 30; COUNT : UINT; CTU_INST_0 : FB_CTU; END_VAR
CTU_INST_0.CU := DI1; CTU_INST_0(R:=DI2, PV:=PRESET); COUNT := CTU_INST_0.CV; DO1 := CTU_INST_0.Q;
|
|---|