Permite cargar y editar las tablas de puntos de las curvas CAM.
Accediendo por el comando CAM Profile List con el botón derecho del mouse a la carpeta CAM Profiles del recurso.

Descripción
Las tablas de puntos (Cam Table) de 1 a 10 son tablas de puntos fijos, que serán transmitidos en el momento del download del aplicativo. Para usar las tablas de 1 a 10, primeramente el bloque MC_CamTableSelect debe ser ejecutado con la tabla deseada y luego el bloque MC_CamIn.
Las tablas de puntos de 11 a 20, son tablas de puntos variables. Para usar las tablas de 11 a 20, primeramente debe ser ejecutado el bloque MC_CamCalc con la tabla deseada y luego el bloque MC_CamIn.
Para el equipo SCA06 es permitido programar un máximo 200 de puntos fijos y 100 puntos variables, donde el número máximo de puntos variables de cada tabla debe ser configurado en la columna Max Points, conforme abajo:

Para editar la tabla cam, haga clic en el botón Editar y se abrirá el editor de perfil cam, conforme la figura a seguir:

En esta ventana existen los siguientes controles:
Tabla de puntos:

|
¡NOTA! El bloque CAM es siempre relativo, a seguir, el primer punto de la tabla de puntos siempre será maestro=0 y esclavo=0. |
Gráfico del perfil:

Herramientas de control del gráfico:

Valores del cursor:
Valores relativos al punto seleccionado del cursor.

Velocidad del maestro:
Velocidad utilizada para cálculo de la velocidad, aceleración y jerk del esclavo.
![]()
|
¡NOTA! La velocidad, aceleración y jerk del esclavo deben ser utilizados como referencia para el desarrollo del perfil cam, donde los éstos son calculados numéricamente sin tomar en consideración carga, inercia, torque ni dinámica del drive. |
Adicionando un nuevo punto en el perfil CAM
Un punto puede ser adicionado a través de los botones adicionar o insertar punto, o a través de un doble clic del mouse sobre el gráfico, en la posición donde se desea adicionar el punto. El doble clic puede ser hecho en cualquier región del gráfico. En caso de que ya exista una interpolación en esa región, el editor insertará ese punto entre los dos puntos de la interpolación.
El punto es siempre adicionado como interpolación del tipo linear.
Cuando es adicionado o insertado un punto, a través de los respectivos botones, los valores de maestro y esclavo vienen reseteados. La inserción de punto puede ocasionar una Interrupción del perfil, ya que la posición del maestro debe siempre crecer en relación a la original, entonces, se debe editar el valor del maestro y del esclavo haciendo clic sobre sus células en la tabla de puntos.
En la figura a seguir fue insertado un punto, a través del doble clic del mouse:

Para alterar el tipo de la interpolación, haga clic en la célula de tipo, en la línea correspondiente al origen de la interpolación, y seleccione la deseada.
En la figura a seguir fue alterado el punto para interpolación tipo cúbica.

Ahora, en esa curva, ya es posible observar otras grandezas, como la posición, velocidad, aceleración y jerk. Para una mejor visualización de todas las grandezas podemos utilizar el botón Ajusta Zoom Todo conforme la figura a seguir.

De la misma manera, podemos escoger una de las grandezas y utilizar el botón Aplica Zoom Seleccionado. En el ejemplo a seguir fue efectuado un zoom en la velocidad.

Otra herramienta interesante de ser citada es el cursor. En el ejemplo a seguir posicionaremos el cursor en el punto de máxima velocidad.

Se debe tener presente que las grandezas velocidad, aceleración y jerk del esclavo son dependientes de la velocidad del maestro, entonces es interesante realizar sus alteraciones de modo de simular algo muy próximo a lo real. En la figura a seguir, la velocidad del maestro será alterada para 1000 rpm y analizaremos la misma posición del cursor.

Durante el proyecto del perfil cam todas esas grandezas deben ser observadas ya que podrán, o no, ser cumplidas en función de las limitaciones mecánicas, eléctricas o electrónicas de los equipos involucrados.
Como los gráficos de aceleración y el jerk son calculados tomando en consideración la interpolación entre dos puntos, en las junciones entre interpolaciones lineares, la aceleración y el jerk serán mostrados como iguales a cero. Sin embargo, sabemos que teóricamente, en un escalón de velocidad, la aceleración y el jerk son infinitos, en la práctica la aceleración y el jerk, en ese momento, dependerán también de las limitaciones mecánicas, eléctricas y electrónicas de los equipos involucrados.Tales escalones de velocidad deben ser observados y considerados en el proyecto del perfil cam. En la figura a seguir es ejemplificada esta situación.

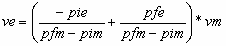
El bloque CAM tiene disponible dos tipos de interpolación, la linear y la cúbica. Siendo utilizadas las siguientes ecuaciones :
Linear:
![]()
![]()
![]()
![]()
Cúbica:
![]()
![]()
![]()
![]()
donde:
pe = posición del esclavo
ve = velocidad del esclavo
ae = aceleración del esclavo
je = jerk del esclavo
pm = posición del maestro
vm = velocidad del maestro
pim = posición inicial del maestro
pfm = posición final del maestro
pie = posición inicial del esclavo
pfe = posición final del esclavo
a = coeficiente calculado por el editor CAM
b = coeficiente calculado por el editor CAM
c = coeficiente calculado por el editor CAM
Alterando un punto en el perfil CAM
Un punto puede ser alterado a través de la tabla de puntos, por la edición directa, o moviendo el punto en el gráfico. Para mover el punto en el gráfico lleve el mouse hasta el punto en cuestión, que está marcado con un cuadrado rojo, haga clic sobre éste y mantenga el mouse presionado, arrastrándolo hasta la nueva posición.
Al hacer clic sobre el punto, la tabla de puntos será desplazada hacia el ponto en cuestión, seleccionando la célula relacionada.
La operación de mover el punto en el gráfico es interactiva y calcula todo el perfil a cada cambio del punto en cuestión. El nuevo punto puede ser visto en la tabla de puntos.
Removiendo un punto en el perfil CAM
El punto es removido directamente de la tabla de puntos. Para eso, seleccione una de las células respectivas al punto y haga clic en el botón "Remover Punto".
Zoom de un área determinada del gráfico
Haga clic con el mouse sobre uno de los ángulos de la región donde desea ejecutar el zoom y mantenga el mouse presionado, mueva el mouse de modo de marcar una región. En ese momento aparecerá un rectángulo en el gráfico, suelte el botón del mouse. En la figura a seguir aparece un ejemplo de zoom.

Menú gráfico:
Para tener acceso al menú del gráfico haga clic con el botón derecho del mouse sobre el área del gráfico, a continuación aparecerá el siguiente menú.

En la figura a seguir es mostrada la caja de propiedades del gráfico.
